昭和 60 年 高校 入学

co3huwqnes 5m

co3huwqnes 5m

6park com 日本做到了大学无偿化 但又出现新问题

6park com 日本做到了大学无偿化 但又出现新问题

维波君的10年日本留学经历 知乎

维波君的10年日本留学经历 知乎

全网搜

全网搜

新浪

新浪

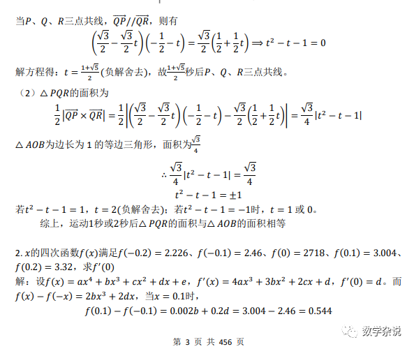
东京大学入校考试理科数学60年真题 知乎

东京大学入校考试理科数学60年真题 知乎

日本高中学校信息网 日本高中

日本高中学校信息网 日本高中

愛知縣立旭丘高等學校 维基百科 自由的百科全书

愛知縣立旭丘高等學校 维基百科 自由的百科全书

1985年 昭和60年 生まれの年齢早見表 今何歳 学年 卒業 干支 年収ガイド

1985年 昭和60年 生まれの年齢早見表 今何歳 学年 卒業 干支 年収ガイド

北大录取通知书太惊艳 高校争奇斗艳惊呆日本网友 有吧新闻

北大录取通知书太惊艳 高校争奇斗艳惊呆日本网友 有吧新闻

reddit

reddit

新浪

新浪

新华每日电讯

新华每日电讯

日本留学网

日本留学网

日本高中学校信息网 日本高中

日本高中学校信息网 日本高中

令和 履歴書の学歴 卒業年度早見表 西暦 元号対応 転職hacks

令和 履歴書の学歴 卒業年度早見表 西暦 元号対応 転職hacks

2019年东京大学入学致辞 有很多人拼尽全力 也不会有回报 新闻 蛋蛋赞

2019年东京大学入学致辞 有很多人拼尽全力 也不会有回报 新闻 蛋蛋赞

搜狐

搜狐

文明复兴 专题频道 爱传统网 ict88

文明复兴 专题频道 爱传统网 ict88

国际教养学部 搜索结果 哔哩哔哩 bilibili

国际教养学部 搜索结果 哔哩哔哩 bilibili

因奇葩理由就降女生录取比例日9所大学不当录取 考生 大学 医科大学 新浪新闻

因奇葩理由就降女生录取比例日9所大学不当录取 考生 大学 医科大学 新浪新闻

開成高校入学試験過去問 希少激レア平成7年受験用10年分

開成高校入学試験過去問 希少激レア平成7年受験用10年分

卒業年度早見表 日経転職版

卒業年度早見表 日経転職版

facebook

facebook

You May Like
hits counter